|
|
자유글
순국선열님들~ 못난 후손들이 머리 숙여 반성하며, 감사드립니다 ~
2016.06.26 22:27
단국대 남가주 동창회는 정치, 종교와
무관한 순수한 동문간의 친목 도모하는
순수한 비영리 단체입니다.
하지만
모교 단국대학의 창학 이념인
“구국(救國)ㆍ자주(自主)ㆍ자립(自立)”
겨레사랑에 뿌리를 둔 단국인의 신념 !
나라을 위해 목숨을 받치신 순국열사분들의 비통한 소식을 접하고
피가 꺼꾸러 올라오는 울분을 참지 못하고
목숨으로 나라를 지켜내신 순국선열의 깊은 뜻을 알리고
다시한번 나라 사랑을 되새기자는 뜻에서 이 글을 올립니다.
목숨으로 지키신 조국에서
내 조국이 얼마나 고귀한 나라인지
내 조국이 있기에 우리가 지금 한국사람이라고
말할 수 있는 것이 얼마나 감사한지를
모르고 사는 못난 후손이라는 것을 반성합니다.
순국선열님들~
머리 숙여 감사드립니다.
------------------------
독립기념관, ‘의병장 머리를 잘라 가마솥에 삶은(釜煎)’ 일본군 만행 공개

권형원 의병장 초상
구한말 의병탄압에 동원된 일본군이 1907년 의병장을 총살한 뒤 목을 자르고 그 두부(頭部)를 가마솥에 넣고 삶은 천인공노할 만행을 자행한 사실의 전모가 뒤늦게 밝혀졌다.
독립기념관 한국독립운동사연구소 박민영 선임연구위원은 28일 오후 2시부터 독립기념관 밝은누리관에서 열리는 제324회 월례연구발표회에서 이러한 요지의 논문인 “고성(高城) 의병장 권형원의 의병투쟁과 단두 ‘부전(釜煎)’ 수난”을 발표할 예정이다.
■권형원(權亨源) 의병장의 단두 ‘부전’ 수난
강원도 고성군 서면 송탄리(松灘里, 휴전선 북방, 현 고성군 순학리의 금강산 진입로 부근) 출신의 권형원(1854-1907)은 1896년 민용호가 이끌던 강릉의병 예하의 고성 유진장(留陣將)으로 활약하던 의병장이었다. 향반 출신이던 그는 당시 동해 연안 어장을 침탈하던 다수의 일본인 어부들을 잡아 처단하였을 뿐만 아니라, 일본 상인들의 상권 침탈행위도 단죄하는 등 이 지방의 항일투쟁을 선도한 인물이었다.
1907년 광무황제 강제퇴위와 대한제국군 강제해산을 계기로 전국적으로 의병전쟁이 확대 고조되자, 의병전선에 다시 나선 권형원은 고성, 간성, 양양, 강릉 일대를 전전하며 일본군을 상대로 53세의 나이로 수개월 동안 10여 회의 대소 전투를 벌였다.
권형원이 치룬 최후의 항일전은 1907년 10월 20일 고성전투였다. 일본군의 전투상보에 의하면, 이 날 새벽 권형원이 인솔한 의병 350명이 고성읍을 습격, 5시간 동안 머물며 그곳에 주둔해 있던 일본군 분견대(51연대 9중대 소속의 1개 소대 규모)를 유린한 뒤 철수했다.
이에 분풀이에 나선 일본군은 의병을 후원하던 인근 여러 마을을 돌며 지도자 12명을 동시에 집단 학살했다.
이때 송탄 자택에 숨어 있던 권형원도 일본군에게 피체되어 고성읍을 관류하는 남강(南江)의 송림(松林)으로 끌려가 총살 순국하는 수난을 당했다.
권형원의 수난은 순국 후에 더 처참하였다. 전날 고성에서 유린당한 여파로 분이 풀리지 않은 일본군은 시신에서 목을 잘랐고, 잘라낸 두부를 일본군 수비대 본부가 있던 장전항(고성 북쪽)으로 가져가 가마솥에 넣고 삶는 끔찍한 만행을 자행했다.
총살, 단두, 부전으로 이어지는 세 차례 만행이 연속적으로 가해진 이 참상은 한국을 침략하던 일본군이 보여준 반인륜, 반문명의 야수적 속성을 그대로 드러낸 사건이었다.

박은식 한국통사 부전(釜煎) 만행 기록
■두골의 일본 강제반출
처참하게 수난을 당한 권형원의 두골은 그 뒤 30여 년이 지나 일본에서 발견됐다. 권형원에게 만행을 가한 일본군이 그의 두골을 자국으로 강제 반출한 것이다.
이 사실은 1930년대에 일본 이와테(岩手) 의과대학을 다니던 권형원의 14촌 아우 권증원(權增源, 강릉 관동의원 원장 지냄)이 재학시절 수학여행에서 모 신사(神社)를 찾았을 때 거기에 비치된 ‘강원도(江原道) 권형원(權亨源)’ 표식이 있는 두골을 목격하고 유족들과 주변 사람들에게 이러한 사실을 전해줌으로써 알려지게 되었다.
■생생한 구전과 증언 자료
권형원의 참혹한 수난 사실은 후손과 고향 노인들이 남긴 다량의 구전, 증언 자료에 생생히 기록되었다.
먼저, 정부에서 독립유공자 포상 신청을 접수하기 시작하자마자 1962년 가장 이른 시기에 손자 권혁수(權赫壽, 1900년생)에 의해 권형원 수난 당시 상황을 견문(見聞)한 촌로 8명의 명의로 공적 추천서(殉國義士行蹟推薦書)가 작성되어 내각 사무처에 제출되었다.
“9월 고성 남강전투(南江戰鬪)에서 적병 대부대와 교전하다가 과약(寡弱)이 강중(强衆)을 대적할 수 없는 환경과 조건에서 애석하게도 참패를 당하게 되자 선생은 적에게 생포되어 고성 남강 송림(松林)에서 총살형을 당하고 말았는데 놈들은 두부(頭部)를 자절(刺切)하여 100도 이상의 비발(沸潑)에 팽증(烹蒸)하여 자국으로 보내고 만 것이다.”
다음으로, 1982, 3년 권형원의 의병투쟁과 순국수난 사실을 전문(傳聞)한 동향 출신의 노인 49명의 구전 증언들을 일일이 채록하여 청원서(請願書)라는 제명으로 묶어 남겼다.
이 자료도 모두 권형원이 의병에 참여하여 고성·양양에서 항일전을 전개하였고, 고성전투 후에는 일본군에게 피살 순국한 사실과 사후에 단두 수난을 당한 내용을 담았다.
한편, 1977에는 그때까지 생존한 손부(沈小淸, 1905년생)의 명의로 의병대장권하경총살입증서(義兵大將權夏卿銃殺立證書, 1977.4.16) 등이 정리되어 집안에서 내려오는 수난 사실을 구체적이고도 생생하게 전해주고 있다.
이러한 증언 자료의 신뢰도와 가치를 인정받고 순국 사실이 인정되어 권형원은 1990년 애국장에 추서되었다.

구전 증언 자료 ‘순국의사행적추천서’(1962)의 단두 부전(釜煎) 기록
■박은식이 폭로한 일본군 만행 기록의 주인공
민족주의 역사학자 백암(白巖) 박은식(朴殷植)이 1915년 중국 상해에서 간행한 한국통사(韓國痛史)에는 의병을 탄압하던 일본군의 만행을 구체적 사례로 소개하였다.
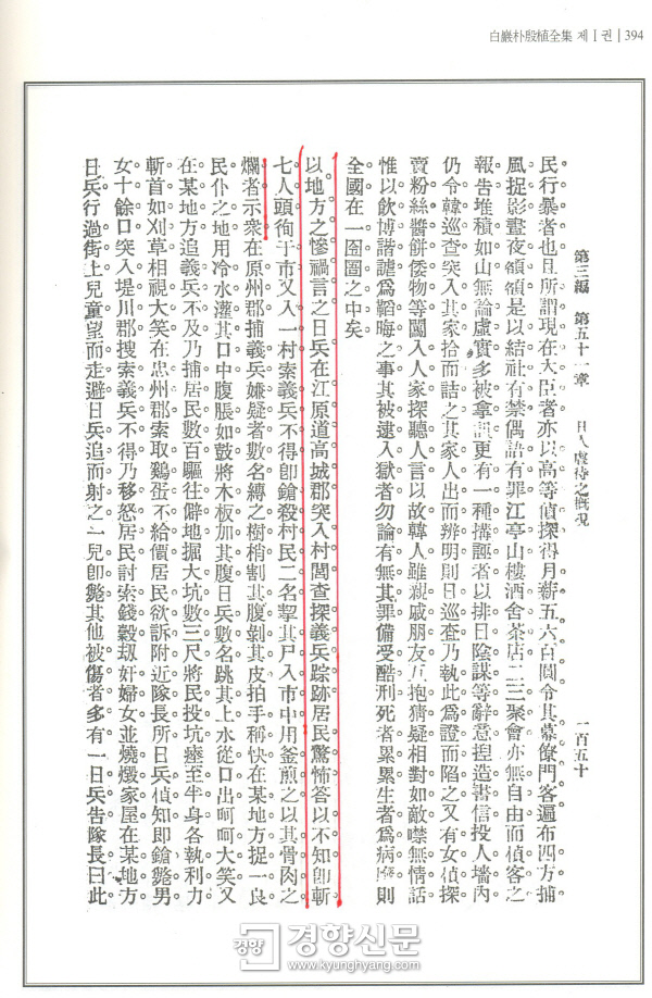
“지방의 참화로 말할 것 같으면, 일본병은 강원도 고성군에서 마을에 돌입하여 의병의 종적을 탐색하자 동리 사람들이 겁에 질려 알지 못한다고 대답하자 바로 7인을 참수하여 머리를 저자에 돌려가며 보였으며, 또한 한 마을에 들어가 의병을 색출하다 찾아내지 못하자 즉시 촌민 두 명을 사살하고 그 시체를 끌고 시중 가마솥에 넣어 삶아서 익은 뼈와 살을 여러 사람에게 보였다.”(以地方之慘禍言之 日兵在江原道高城郡 突入村閭 査探義兵踪跡 居民驚怖答以不知 卽斬七人頭 徇于市 又入一村 索義兵不得 卽 殺村民二名 挈其尸 入市中用釜煎之 以其骨肉之爛者示衆)
앞에서 언급한 권형원 관련 구전, 증언 기록은 박은식의 한국통사와 전혀 무관하게 별개로 정리된 자료이다. 그럼에도 불구하고 박은식이 남긴 기록과 권형원의 수난 사실을 담은 구전, 증언 기록은 큰 틀에서 일치한다. 참변이 일어난 장소가 강원도 고성으로 같고, 일본군이 학살 후 시신(두부)을 가마솥에 삶은 만행이 같으며, 권형원 수난 외에 고성 주민 다수를 동시에 학살했다는 기사가 거의 일치하기 때문이다. 주민 7명을 이때 함께 학살했다는 위 박은식의 기록은 구전 자료에서 12개 마을 지도자들을 학살했다고 하는 사실을 가리킨다.
곧 박은식이 한국통사에서 고발한 일본군 만행의 비운의 당사자가 권형원이었음을 확인할 수 있게 된 셈이다.
■에필로그
권형원을 총살한 일본군은 집까지 불태웠다. 고성 강변에서 총살되어 목이 잘린 권형원의 시신은 벌판에 임시로 매장되었다. 그 뒤 일제 강점기에 송탄(松灘)보통학교가 들어서고 묘역이 운동장으로 편입되자 1936년경 비로소 선산으로 이장하였다고 한다. 이장시 참관한 손부의 증언에 따르면 목이 잘린 유골에 종이로 머리 형상을 만들고 그 위에 고깔을 씌워 안장하였다는 것이다.
부친의 기막힌 수난을 지켜본 큰아들 권병섭(權秉燮)은 복수의 한을 품은 채 민긍호 의병부대에 들어가 항일전을 벌였다.
1908년 민긍호 순국 후에는 서울, 해주, 안성 등지를 전전하며 김진섭(金眞權), 권오섭(權五燮) 등으로 변성명하고 항일투쟁을 벌였던 것으로 전해진다.
일본군이 권형원의 두골을 자국으로 강제반출한 사실은 1995년에 폭로된 일본 북해도대학의 동학군 두골 방치사건으로 미루어 그 개연성이 더욱 크다.
당시 북해도대학 문학부 후루카와(古河) 강당 인류학교실 정리 작업 중 종이상자 속에 방치되어 있던 두골 가운데 한 구가 1906년 전남 진도에서 채집된 동학군 유골이었다.
이 사실을 폭로한 박맹수 교수의 주장에 의하면 현재 일본에는 구 제국대학을 계승하고 있는 7개 국립대학 박물관에는 국권 침탈, 강점기에 탈취해간 한인 두골이 1000 구 이상 ‘표본’으로 정리되어 있다고 한다. 권형원의 사례를 통해 일본군은 동학군 외에 의병의 두골도 일본으로 강제 반출했던 사실을 확인할 수 있게 된 셈이다.
의병전쟁에 참여하여 항일전을 벌였던 권형원의 순국 수난의 참상은 한국의 국권을 강탈하던 일본 군국주의의 야수적 속성을 그대로 드러냈다.
http://news.khan.co.kr/kh_news/khan_art_view.html?artid=201606271430001&code=910302
댓글 0
| 번호 | 제목 | 글쓴이 | 날짜 | 조회 수 |
|---|---|---|---|---|
| 58 | 밤에 스마트폰 쓰면 면역력 약한 아기 낳을수도 | 운영자 | 2017.03.31 | 8570 |
| 57 | 속옷 1분 만에 말리기 | 운영자 | 2017.03.30 | 9054 |
| 56 | 11년 꼼짝 못한 사지마비 환자, 뇌·컴퓨터 연결해 스스로 식사 | 운영자 | 2017.03.29 | 8574 |
| 55 | 날로 먹은 버섯, 배 안에서 자라…내시경 찍어보니 ‘최대 7cm’ | 운영자 | 2017.03.29 | 8579 |
| 54 | CNBC '대박주식' 소개 관심 | 운영자 | 2017.02.24 | 8590 |
| 53 | [한국] 땅이야기 맛이야기 | 운영자 | 2017.02.23 | 8922 |
| 52 | 세상에.. 이런일이... 두개골에서 발견된 '살아있는' 바퀴벌레 | 운영자 | 2017.02.20 | 10158 |
| 51 | 드론, 낚시의 트랜드를 바꾸나... | 운영자 | 2017.01.16 | 8773 |
| 50 | 겨울 산행, 안전 산행 10가지 팁 | 운영자 | 2017.01.13 | 9351 |
| 49 | 신호대기 중 휴대폰 사용도 벌금 130달러 | 운영자 | 2016.09.16 | 8702 |
| 48 | 영국 BBC 21세기 가장 위대한 영화 100편 | 운영자 | 2016.08.23 | 178231 |
| 47 | 캘리포니아 부동산 자격증 갱신을 마치고 | 운영자 | 2016.07.18 | 8708 |
| » |
순국선열님들~ 못난 후손들이 머리 숙여 반성하며, 감사드립니다 ~
| 운영자 | 2016.06.26 | 9481 |
| 45 | 한국의 "34번째 민족대표" 프랭크 W. 스코필드 - LA 특별 전시회 | 운영자 | 2016.06.10 | 10838 |
| 44 |
아직 미국은 살기 괜찮은 나라 ~
| 운영자 | 2016.03.31 | 10184 |
| 43 |
사고로 팔다리 부러진 채 모유수유…구급대 울린 ‘모성’
| 운영자 | 2016.03.25 | 9089 |
| 42 |
자동차 등록 스티커 도난, 조심하세요~
| 운영자 | 2016.02.14 | 8740 |
| 41 | 단점을 고치는 사람 vs 장점을 살리는 사람 | 운영자 | 2016.01.26 | 8576 |
| 40 | 7분만 투자해 인생을 바꾸는 아침습관 7가지 | 운영자 | 2016.01.24 | 9590 |
| 39 | 102세 선생님 - 81세에 교직 시작 | 운영자 | 2016.01.14 | 9839 |




